広報活動
急性期脳梗塞に対する再開通療法のガイドライン遵守率がアウトカム改善に与える影響を全国レベルで初めて実証
国立循環器病研究センター(大阪府吹田市、理事長:大津欣也、略称:国循)の飯原弘二病院長が代表を務めるJ-ASPECT研究の、全国レベルで、系統的に急性期脳卒中医療の質を計測し、改善を促すClose The Gap-Stroke (略称:CTGS) というプロジェクトにおいて、本邦の急性期脳梗塞に対する医療の質の年次推移や臨床転帰に与える影響を評価し、この研究成果を当センター脳卒中・循環器病次世代医療研究部の連乃駿医師、予防医学疫学情報部の尾形宗士郎室長、飯原弘二病院長らが、米国心臓協会(AHA)機関誌「Stroke」に公表し、オンライン版に2022年8月16日に掲載されます。
■背景
医療の質(Quality of Care)を測り、改善することは、世界的に注目されています。一般的に、医療の質は、ストラクチャー指標(構造指標:集中治療室、専門医数など)、プロセス指標(手順指標:ガイドラインに記載された標準的医療の実施など)、アウトカム指標(成果指標:死亡率など)の3つによって測ることができます。中でも、プロセス指標を測ることは医療の質の改善を直接反映すると考えられています。急性期脳主幹動脈閉塞に対する血栓回収療法は2015年以降の複数のランダム化比較試験により、内科的治療に優る転帰改善効果が示され、標準的治療として確立されました。しかし、本邦において血栓回収療法に関して、エビデンスに基づいた標準的なプロセス指標は確立されていません。また一般に、プロセス指標を継続的に全国レベルで収集することは、多忙な臨床現場にさらに負担を与える可能性があります。そこで我々は、脳卒中に対する標準的医療の実施を推奨するCTGSプロジェクトを開始し、既存のDPC情報(診療報酬の包括評価制度)を活用し、必要な重要情報のみを付加する、プロセス指標の革新的な収集手法を確立し、すでにその実現可能性を報告しています(Ren et al . Circ J 2021)。今回、脳卒中医療の質指標の遵守率を調査し、急性期脳主幹動脈閉塞に対する血栓回収療法のためのガイドラインが改定された2015年前後での遵守率の変遷を示すとともに、医療の質指標の遵守が臨床転帰に与える影響を検討し、エビデンスに基づき策定した評価指標がアウトカムに与える影響を、全国レベルで初めて検証しました。
■研究手法と成果
本研究への参加に同意した351施設において、2013-2017年度に急性期再開通療法(rt-PA静注療法ないし血栓回収療法)を実施した21,651症例を対象として、2015年前後での評価指標に対する遵守率の推移、医療の質の指標の遵守が臨床転帰(退院時死亡・機能予後)に与える影響を解析しました。
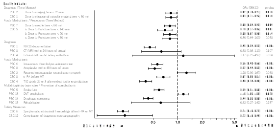
臨床転帰との関連を評価し得た医療の質の指標20項目のうち、14項目は、院内死亡率の低下(Odds[95%CI]、来院からrt-PA静注療法開始までを60分以内に達成すること、0.80 [0.69–0.93]、来院から血栓回収療法を90分以内に開始すること、0.80 [0.67-0.96]、有効再開通の達成、0.40 [0.34–0.48] など)に関連しており、また11項目は退院時の機能的自立の増加に関連していることが明らかとなりました。
また、2015年前後で医療の質の指標の遵守率の差分の差を評価したところ、2015年以降、来院から血栓回収療法を開始するまでの時間の短縮や有効再開通の達成など、主に血栓回収療法に関する項目で持続的かつ顕著な遵守の向上が見られました。対象となった症例の死亡率は2013年から2017年度までで10%程度から8%まで低下していたものの、退院時の自立度は対象患者の約38%程度であり年次変化は認められませんでした。一方で、適切な退院時処方による二次予防に関する項目は年次変化がほとんど認められませんでした。
■今後の展望と課題
本研究により、本邦初の全国的な脳卒中医療の質改善プログラム、CTGSプロジェクトで収集した急性期脳卒中医療の質が、ガイドライン改訂前後5年間で継続的に改善し、遵守率が退院時のアウトカムに影響することを初めて明らかとしました。2015年以降で血栓回収療法に至る時間や有効再開通率の継続的向上が達成できていることから、血栓回収療法の技術的習熟及び技術の均てん化が成し遂げられていたと考えられます。一方で院内死亡率の低下は達成できているものの、退院時自立度の改善に至るまでは認めず、退院後の再発や自立度の推移を含めた長期的予後に関しても今後評価が必要です。
(図1)2015年前後での各医療の質に対する遵守率の推移(本文より一部抜粋)
横軸の1より右側にある項目は、遵守率が継続的に増加していることを示す
DTN:来院から経皮的血栓溶解療法(rt-PA静注療法)実施までの時間
DTP:来院からカテーテルによる血栓回収療法実施までの時間
2015年以降、来院から1時間以内に経皮的静注療法実施を達成できる施設が増加している。血栓回収療法に関しても、実施開始までの時間が短縮していることがわかる。
(図2)急性期脳梗塞に対する医療の質の遵守と退院時死亡との関連
■発表論文情報
著者:Nice Ren, Soshiro Ogata, Koji Iihara, et al
題名:Associations Between Adherence to Evidence-Based, Stroke Quality Indicators and Outcomes of Acute Reperfusion Therapy
掲載誌:Stroke
URL:https://www.ahajournals.org/doi/10.1161/STROKEAHA.121.038483
■謝辞
本研究は、日本脳卒中学会、日本脳神経外科学会との連携のもと実施され、下記機関より資金的支援を受け実施されました。
・日本医療研究開発機構 循環器疾患・糖尿病等生活習慣病対策実用化研究事業
・厚生労働科学研究費 循環器疾患・糖尿病等生活習慣病対策総合研究事業
・循環器病研究開発費
報道関係の方からのお問い合わせ
国立循環器病研究センター企画経営部広報企画室
TEL : 06-6170-1070(31120)
MAIL: kouhou@ml.ncvc.go.jp
個別取材の手続きは、こちらからご確認いただけます。
最終更新日:2022年08月17日