メニュー

トピックス

てんかん発症に重要なキーとなる出血性病変の重要性

概要

 国立循環器病研究センター(大阪府吹田市、理事長:大津欣也、略称:国循)の脳神経内科 田中智貴医長、猪原匡史副院長・脳神経内科部長を中心に、マサチューセッツ総合病院(米国、略称:MGH)、香港大学(香港)との国際共同研究グループは、脳梗塞後の脳卒中後てんかんのリスクとして出血性変化が重要であることを突き止め、脳卒中後てんかんの新規リスクスコアを開発し、既存のモデルを上回る予測性能を示しました。

研究のポイント

  • 日本、米国、香港からの最先端の脳卒中後てんかんリスクモデルの開発(IsCHEMiAスコア)を完遂。
  • 出血性病変、脳梗塞サイズがリスク因子として重要なことが判明。
  • 既存のリスクモデル(SeLECT/SeLECT2)に勝ることが症例された。

背景

 脳梗塞は成人発症てんかんの約30~40%を占める主要な要因であり、脳卒中生存者の機能予後や死亡率の悪化と関連します。しかし、一次予防としての抗てんかん発作薬使用には明確な根拠が乏しく、「誰が脳卒中後てんかん(Post-stroke epilepsy、略語:PSE)になりやすいか」を見極める予測モデルが臨床的に強く求められてきました。既存のSeLECT/SeLECT2.0は有用ではあるものの、梗塞サイズや出血性変化など脳梗塞の画像的特徴が盛り込まれていませんでした。本研究は、現代の脳梗塞診療で得られた客観的な臨床・画像指標を用いて、新規スコアの開発を目的に実施しました。

研究成果

3か国の共同研究による新たなリスクスコアの確立

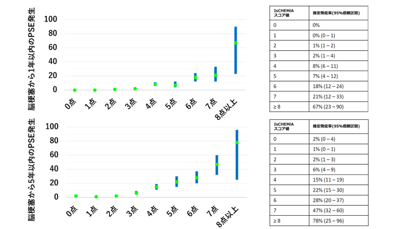
 2014年~2019年に急性期脳梗塞(初回)の症例(米国:1436例、香港:1558例、日本:976例)を用いて解析した結果、PSEのリスク因子として(1)梗塞サイズ5cm以上、(2)出血性変化、(3)早期発作、(4)中大脳動脈領域の脳梗塞、(5)皮質病変、(6)65歳未満の6項目が残りました。これらを基に新たなPSEリスクモデル(IsCHEMiAスコア)を作成しました(表1)。それぞれの国で検証した結果、高い予測精度を誇ることが判明(c統計量:全体0.848、米国0.870、香港0.855、日本0.826)し、既存の信頼性の高いSeLECTスコアよりも統計学的に勝ることが証明されました(図1)。なお、発症リスク推定では、数値の上昇とともにPSE発生頻度は増加し、IsCHEMiAスコア3点で1年時点2%、5年時点6%、≥8点では1年時点67%、5年時点78%がPSEを発症することがわかりました(図2、3)。

国循から生まれたエビデンスが国際的にも支持される結果に

 本研究は、PSEと関連が強いとされながら既存スコアで未反映だった「出血性変化」と「梗塞サイズ」を客観的指標として組み込み、国際コホートでの高い識別能を示しました。PSEリスク因子としての出血性病変は、ヘモジデリン沈着などによる皮質過興奮性の増大を介した機序が示唆されており、国循(田中、猪原ら)がすでに2023年に報告(Annals of Neurology)した脳表シデローシス(大脳皮質の表面にある線状の出血性病変)とPSE発生との関係を支持する結果となっています。IsCHEMiAスコアは、(1)客観的で日常的に得られる臨床・画像指標のみで構成、(2)米・香・日の多施設で外的検証済み、(3)SeLECT/SeLECT2.0より高性能、という強みを持ちます。今後、IsCHEMiAスコアはPSE高リスク患者の同定における第一歩となり、将来的なてんかん発症を抑制する治療法の開発・評価の土台となることが期待されます。


表1:IsCHEMiAスコアについて
各項目にて配点を行い、合計してPSEのリスクを予測できる
出典:田中作成
IsCHEMiAスコアについて

図1:他の既存のスコア(SeLECTスコア/SeLECT2スコア)との正確性の比較
AUC:Area under the curve、統計学的にモデルの正確性を示す指標。1が最高値、0が最低値
出典:本論文を改変
他の既存のスコア(SeLECTスコア/SeLECT2スコア)との正確性の比較

図2:IsCHEMiAスコア別のPSE発生率(脳梗塞からの経過)
IsCHEMiAスコア別のPSE発生率(脳梗塞からの経過)

図3:IsCHEMiAスコア毎の脳梗塞からのPSE発生率(1年、5年)
出典:本論文を改変
IsCHEMiAスコア毎の脳梗塞からのPSE発生率(1年、5年)

発表論文情報

著者:William L, 田中智貴, Rachel D, Kandace C, Jianing W, Ho Fung C, Yuen W, Roxanna L, Ian L, Ryan H, Florinda C, Anthony L, Kay T, Shirley P, Edwin Y, 猪原匡史, 福間一樹, Harrison R, Lori C, Andrew C, Kui L, Aneesh S.
題名:Development and International Validation of a Novel Imaging-based Risk Score(IsCHEMiA) for the Prediction of Post-stroke Epilepsy
掲載誌:Neurology(米国神経学会機関誌)
DOI:10.1212/WNL.0000000000214486

最終更新日:2026年01月07日

設定メニュー